2020年8月10日,生物-植物科学领域TOP期刊Journal of Experimental Botany在线发表bat365正版唯一官网岑海燕研究员课题组题为“Optimal temporal-spatial fluorescence techniques for phenotyping nitrogen status in oilseed rape (Brassica napus L.)”的研究论文。
合理地施用氮肥能够有效提高油菜光合性能,最大限度地促进油菜生长。阐明叶绿素荧光信号与植株氮素营养状况之间的动态关系,对于作物氮素营养状况的无损诊断和选育高效氮素利用率的品种等具有重要意义。然而,作物氮素水平诊断结果受作物生长状况以及检测位点的影响较大,所以田间作物氮素诊断的相关研究可重复性较差且可供选择的田间早期快速无损诊断技术有限。因此,本研究在时空尺度上探讨了不同氮处理对光合作用的影响,并评价三种荧光技术诊断氮状况的性能。
研究采用连续激式发叶绿素荧光仪(OJIPtransient)、脉冲调制式叶绿素荧光(PAM-ChlF)和多色荧光(MCF)成像系统三种方法获取了不同氮素处理下油菜不同生长时期以及不同叶位的荧光数据。通过对荧光信号数据的单因素方差分析和线性判别分析,阐明了不同氮素处理的油菜叶绿素荧光信号在不同生长时期的垂直分布状态,从而揭示最佳的氮素诊断叶位、时期与荧光信号获取技术。本研究首先在室内通过盆栽实验展开相关研究,最后进行了田间实验的验证,进而确保了结果的准确性与可重复性。
实验流程图
结果表明,在抽薹期,底层叶片的叶绿素荧光参数Fv/Fm和PIABS对油菜氮素状况较为敏感,而顶叶的RF/IrF在苗期早期敏感。尽管这三种方法对氮处理的油菜分类结果均达到较高准确率(70.83%-83.30%),但MCF成像在叶片顶部的敏感度最高且检测的时间也最早,并且相较于其他叶绿素荧光技术MCF不需要暗适应,因此更适合用于田间冠层尺度的检测。综上,本研究推断出MCF成像技术在油菜氮素水平的田间早期诊断中拥有较高潜力。本研究可为氮素施肥管理决策和高产品种选育提供理论和技术支持。
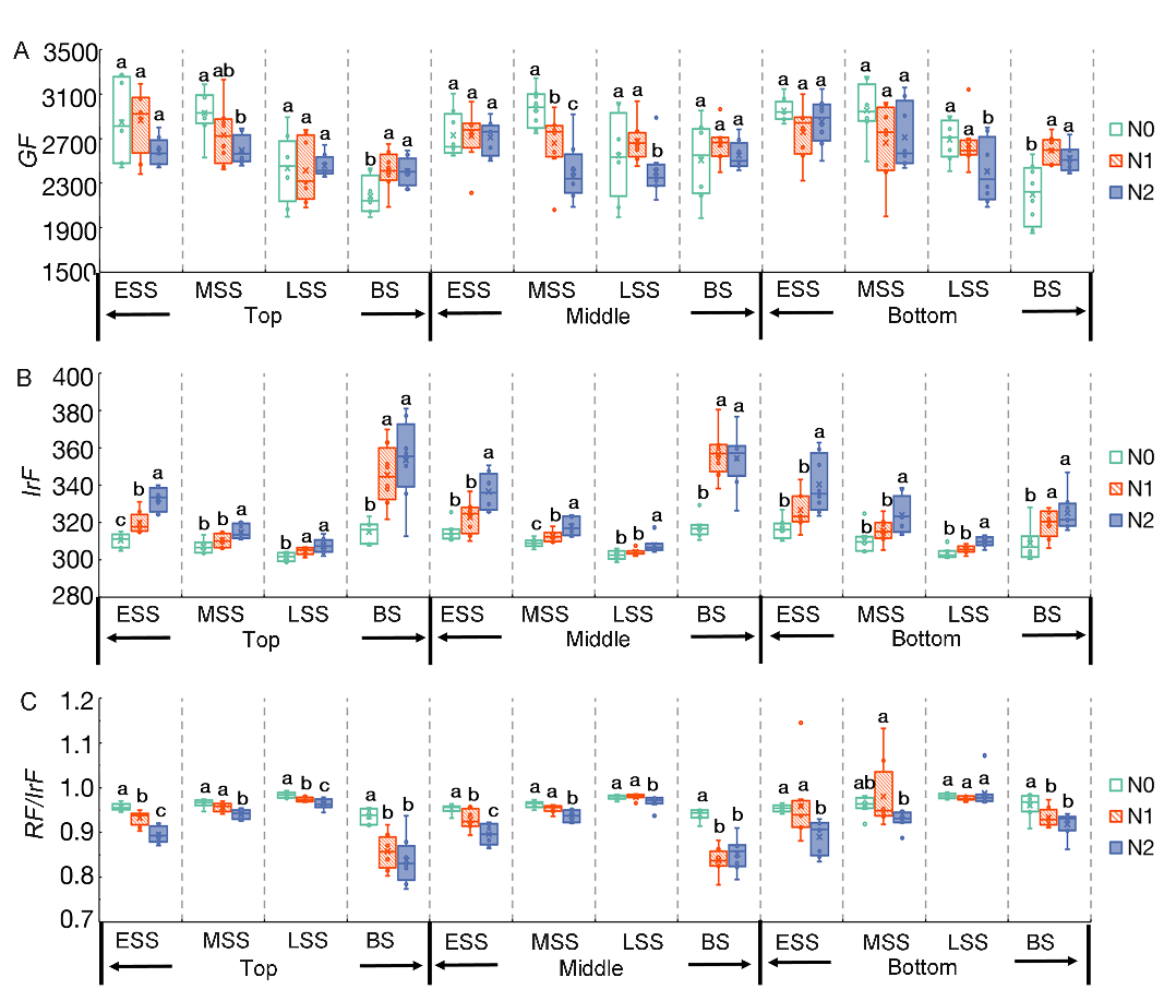
油菜叶片在在不同氮素处理下不同生长时期的多色荧光成像参数的数值分布
不同氮素处理下油菜叶片多色荧光参数(RF/IrF)时空分布伪彩图
该论文第一作者为浙江大学生工食品学院孙大伟博士后,博士毕业于美国奥本大学(AuburnUniversity)农学院,通讯作者为合作导师岑海燕研究员,博士研究生徐海霞为论文共同第一作者。项目部分工作得到农业农村部光谱检测重点实验室、浙江大学现代光学仪器国家重点实验室、农业部作物高产创建示范区的支持。本研究受到国家重点研发计划和国家自然科学基金等项目的资助。 (孙大伟 供稿)
原文链接:https://doi.org/10.1093/jxb/eraa372
生物系统工程与食品科学学院
2020年9月21日
